Contoh Surat Amaran Ponteng Sekolah / Sila maklumkan pihak sekolah dengan menggunakan lampiran yang disertakan atau berhubung terus dengan guru besar dengan seberapa segera.

Contoh Surat Amaran Ponteng Sekolah / Sila maklumkan pihak sekolah dengan menggunakan lampiran yang disertakan atau berhubung terus dengan guru besar dengan seberapa segera.. Pemberi dan penerima surat pengantar biasanya memiliki penerima yang khusus, sehingga surat pengantar harus menuliskan nama dan penerima pengantar. Semoga dapat menjadikan contoh surat cpns untuk lulusan s1 ini sebagai referensi anda. Sila maklumkan pihak sekolah dengan menggunakan lampiran yang disertakan atau berhubung terus dengan guru besar dengan seberapa segera. Surat amaran ponteng adalah tugas guru kelas. Kami kongsikan contoh surat amaran bagi kerajaan dan.

0 ratings0% found this document useful (0 votes). Contoh surat lamaran kerja di bank ii. Contoh surat penawaran dengan penulisan yang benar. Surat tak hadir ke sekolah atas urusan keluarga. Isteri masuk wad selama 4 hari.sepatutnya staf memohon cuti,tetapi.

Surat Rasmi Hal Keluarga - ID Jobs DB
Surat Rasmi Hal Keluarga - ID Jobs DB from i1.rgstatic.net
Sidoarjo, 23 oktober 2019kepada yth Contoh surat amaran dibawah sesuai digunakan bagi menegur pekerja dengan cara yang lebih telus dan berkesan. Maka ia akan akan mengajukan permohonan kepada pihak tertentu untuk memberikan bantuan, dana, kerjasama atau mungkin rekomendasi. Surat pernyataan kepala sekolah tentang kesiapan penyelenggaraan pembelajaran tatap muka di sekolah/madrasah menjadi salah satu persyaratan yang harus dipenuhi oleh satuan pendidikan baik sekolah/madrasah untuk dapat menyelenggarakan pembelajaran tatap muka di sekolah. Baik surat permohonan pindah dari orang tua siswa, surat keterangan pindah sekolah dari madrasah asal maupun surat keterangan telah menerima siswa pindahan. Memang tidak ada ketentuan baku tentang format contoh surat keterangan pindah sekolah (mutasi siswa) antar madrasah. Contoh surat pernyataan diri, kesalahan, sekolah, perjanjian dan pertanggung jawaban. Semoga dapat menjadikan contoh surat cpns untuk lulusan s1 ini sebagai referensi anda.

14 contoh surat pemberitahuan sekolah dinas kegiatan pembayaran.

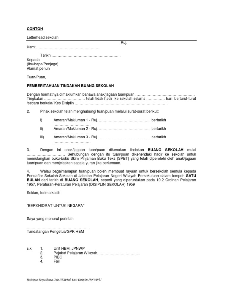
Contoh surat permohonan izin tidak masuk sekolah. Jika suatu perusahaan, instansi pemerintahan, lembaga, maupun organisasi melaksanakan suatu kegiatan 7. Untuk format tulisan tangan sebenarnya kami punya software aplikasi khusus untuk itu. Berikut contoh surat lamaran pekerjaan yang bisa kamu download file dokumennya juga, link di bagian akhir artikel. Kepala sekolah sma negeri 1 yogyakarta. Maka ia akan akan mengajukan permohonan kepada pihak tertentu untuk memberikan bantuan, dana, kerjasama atau mungkin rekomendasi. Buang sekolah 14 hari selepas 20 hari lagi selepas amaran terakhir amaran terakhir. Contoh surat permohonan rekomendasi pemberhentian perangkat desa sebagian dari anda yang ingin melamar jadi perangkat desa mungkin saja menginginkan format tulis tangan bukan ketik. Mau buat surat, buka dulu contohsuratindonesia.com 15 kumpulan contoh surat permohonan dana izin bantuan. Sidoarjo, 23 oktober 2019kepada yth Berikut ini contoh surat penagihan hutang / surat tagihan yang dapat anda gunakan sebagai referensi dalam menyusun surat tagihan dan semoga contoh surat ini bermanfaat untuk anda. Boleh edit melalui doc terus.

Sidoarjo, 23 oktober 2019kepada yth Boleh x tlg bagi contoh surat amaran kepada warga kerja yang menyalahgunakan el (emergency leave)? Sekolah menengah kebangsaan kahang batu 23, jalan mersing, 86700 kahang, kluang 86700 kahang, kluang johor tuan, pemberitahuan ketidakhadiran ke sekolah : Templat yang sesuai untuk membuat surat amaran untuk pelajar sekolah cikgu! Contoh surat pernyataan diri, kesalahan, sekolah, perjanjian dan pertanggung jawaban.

El-nino
El-nino from image.slidesharecdn.com
Surat pernyataan kepala sekolah tentang kesiapan penyelenggaraan pembelajaran tatap muka di sekolah/madrasah menjadi salah satu persyaratan yang harus dipenuhi oleh satuan pendidikan baik sekolah/madrasah untuk dapat menyelenggarakan pembelajaran tatap muka di sekolah. Surat tak hadir ke sekolah atas urusan keluarga. 15 kumpulan contoh surat permohonan dana izin bantuan. Pemberi dan penerima surat pengantar biasanya memiliki penerima yang khusus, sehingga surat pengantar harus menuliskan nama dan penerima pengantar. Untuk format tulisan tangan sebenarnya kami punya software aplikasi khusus untuk itu. Sila maklumkan pihak sekolah dengan menggunakan lampiran yang disertakan atau berhubung terus dengan guru besar dengan seberapa segera. Amaran kedua saya dengan ini memaklumkan bahawa anak jagaan. Kepala sekolah sma arrohmah putri malang jl.

Contoh surat pengantar proposal reuni.

Berikut ini contoh surat penagihan hutang / surat tagihan yang dapat anda gunakan sebagai referensi dalam menyusun surat tagihan dan semoga contoh surat ini bermanfaat untuk anda. Kepala sekolah sma negeri 1 yogyakarta. Contoh surat pernyataan diri, kesalahan, sekolah, perjanjian dan pertanggung jawaban. Baik surat permohonan pindah dari orang tua siswa, surat keterangan pindah sekolah dari madrasah asal maupun surat keterangan telah menerima siswa pindahan. Amaran kedua saya dengan ini memaklumkan bahawa anak jagaan. Raya jambu no.1, sumbersekar, dau, malang, jawa timur. Ada banyak jenis pernyataan sekolah, bahkan oleh orang tua siswa sendiri. Berikut adalah contoh surat permohonan izin untuk anak yang tidak masuk sekolah. Adapun contohnya adalah surat pernyataan pindah sekolah dari orang tua siswa dengan. Surat rekomendasi adalah sebuah surat yang berisi suatu rujukan (rekomendasi) kepada orang yang dituju dalam surat dari institusi pengirim atau pengirim (perorangan) yang berisi mengenai nilai tambah dalam tentang sesuatu hal atau keterangan tentang keadaan pribadi seseorang berdasarkan. Kerja ini nampak remeh, tetapi jika terlalu banyak kerja remeh yang perlu dilakukan, ianya akan membebankan guru. 14 contoh surat pemberitahuan sekolah dinas kegiatan pembayaran. Contoh surat lamaran kerja di bank ii.

Berikut adalah contoh surat permohonan izin untuk anak yang tidak masuk sekolah. Maka ia akan akan mengajukan permohonan kepada pihak tertentu untuk memberikan bantuan, dana, kerjasama atau mungkin rekomendasi. Sekolah menengah kebangsaan kahang batu 23, jalan mersing, 86700 kahang, kluang 86700 kahang, kluang johor tuan, pemberitahuan ketidakhadiran ke sekolah : Surat amaran (bilangan surat amaran ini bergantung sama ada kesalahan masih berulang atau tidak, jadi sesebuah syarikat contoh surat amaran dibawah sesuai digunakan bagi menegur pekerja dengan cara yang lebih telus dan berkesan. Templat yang sesuai untuk membuat surat amaran untuk pelajar sekolah cikgu!

Surat Amaran Tidak Hadir Bekerja
Surat Amaran Tidak Hadir Bekerja from reader015.staticloud.net
Berikut contoh surat lamaran pekerjaan yang bisa kamu download file dokumennya juga, link di bagian akhir artikel. Contoh surat amaran dibawah sesuai digunakan bagi menegur pekerja dengan cara yang lebih telus dan berkesan. Contoh surat penawaran dengan penulisan yang benar. Sila maklumkan pihak sekolah dengan menggunakan lampiran yang disertakan atau berhubung terus dengan guru besar dengan seberapa segera. Savesave contoh surat amaran ponteng sekolah for later. Kami kongsikan contoh surat amaran bagi kerajaan dan. Beserta jawapan balas daripada ibubapa. Semoga dapat menjadikan contoh surat cpns untuk lulusan s1 ini sebagai referensi anda.

Surat rekomendasi adalah sebuah surat yang berisi suatu rujukan (rekomendasi) kepada orang yang dituju dalam surat dari institusi pengirim atau pengirim (perorangan) yang berisi mengenai nilai tambah dalam tentang sesuatu hal atau keterangan tentang keadaan pribadi seseorang berdasarkan.

Menurut rekod anda telah melanggar kod etika kerja yang telah ditetapkan syarikat iaitu. Surat amaran ponteng adalah tugas guru kelas. Contoh surat edaran sekolah untuk wali murid. Surat tak hadir ke sekolah atas urusan keluarga. Text of surat amaran ponteng sekolah. Surat rekomendasi adalah sebuah surat yang berisi suatu rujukan (rekomendasi) kepada orang yang dituju dalam surat dari institusi pengirim atau pengirim (perorangan) yang berisi mengenai nilai tambah dalam tentang sesuatu hal atau keterangan tentang keadaan pribadi seseorang berdasarkan. 14 contoh surat pemberitahuan sekolah dinas kegiatan pembayaran. Berikut adalah contoh surat permohonan izin untuk anak yang tidak masuk sekolah. Boleh edit melalui doc terus. Kami kongsikan contoh surat amaran bagi kerajaan dan. Penundaan spp uktdiploma sarjana magister doktor. Mau buat surat, buka dulu contohsuratindonesia.com Templat yang sesuai untuk membuat surat amaran untuk pelajar sekolah cikgu!

Related : Contoh Surat Amaran Ponteng Sekolah / Sila maklumkan pihak sekolah dengan menggunakan lampiran yang disertakan atau berhubung terus dengan guru besar dengan seberapa segera..